1名無しさん@おーぷん26/04/30(木) 00:21:43 ID:C8vs
積分をいつでもできるぐらいになりなよ
それが、人間えら過ぎもしない賢過ぎもしない、ちょうどいいくらいってとこなんだ。
2名無しさん@おーぷん26/04/30(木) 00:23:42 ID:C8vs
ということで
3名無しさん@おーぷん26/04/30(木) 00:23:49 ID:BtLs
できませんできません 中卒にはできません
4名無しさん@おーぷん26/04/30(木) 00:24:16 ID:C8vs
では私はこれで
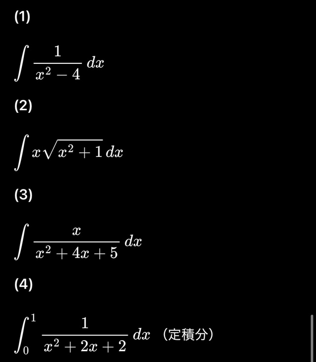
5名無しさん@おーぷん26/04/30(木) 00:24:24 ID:T0N9
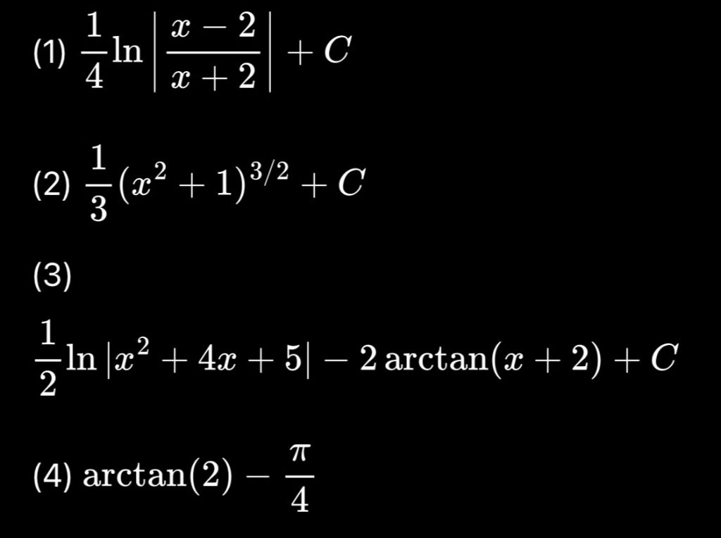
(1)t=x^2-4で痴漢
(2)x=3cosΘ
(3)部分積分2回
6名無しさん@おーぷん26/04/30(木) 00:24:55 ID:C8vs
>>5
良い感じ
7名無しさん@おーぷん26/04/30(木) 00:25:40 ID:HxcH
ルベーグ積分くらいできるようになりなよ…
8名無しさん@おーぷん26/04/30(木) 00:26:11 ID:C8vs
>>7
9名無しさん@おーぷん26/04/30(木) 00:28:25 ID:C8vs
h

解答
11名無しさん@おーぷん26/04/30(木) 00:29:57 ID:C8vs

4番出してなかったすまん
12名無しさん@おーぷん26/04/30(木) 00:30:22 ID:onPW
>>1
社会に出て10年ほどで全部忘れるぞ
13名無しさん@おーぷん26/04/30(木) 00:30:52 ID:Kd1Q
うーん、x=3!w
14名無しさん@おーぷん26/04/30(木) 00:31:18 ID:C8vs
>>13
うーん、正解w
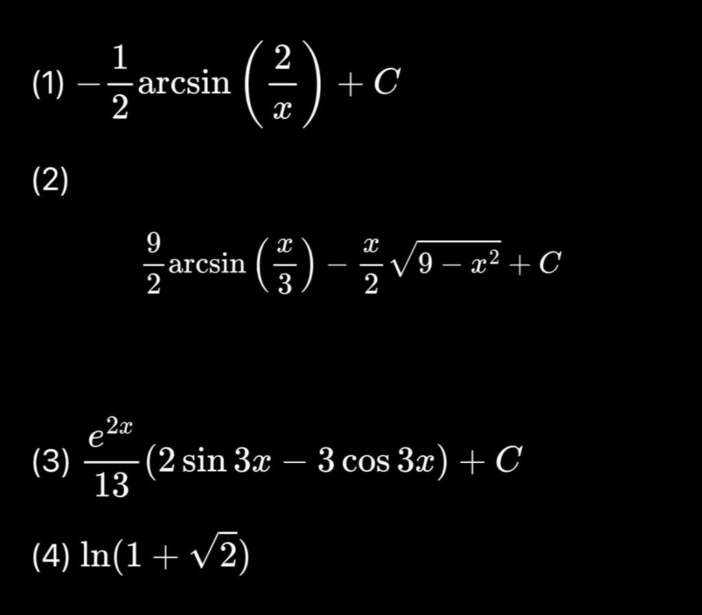
15名無しさん@おーぷん26/04/30(木) 00:32:24 ID:2tHq
うーん、log(1+√2) !w
18名無しさん@おーぷん26/04/30(木) 00:33:15 ID:C8vs
>>15
うーん、正解w
16名無しさん@おーぷん26/04/30(木) 00:33:01 ID:NI8n
出来ねえよ、文系舐めんな
17名無しさん@おーぷん26/04/30(木) 00:33:01 ID:I9sk
どんなにやっても出来なかったから賢くないです
19名無しさん@おーぷん26/04/30(木) 00:33:57 ID:TiET
瞬間部分積分のプロ来たよ
20名無しさん@おーぷん26/04/30(木) 00:34:16 ID:C8vs

いいかい学生さん
これは解けるようにするんだよ
22名無しさん@おーぷん26/04/30(木) 00:39:32 ID:HxcH
>>20
積分定数をね…
21名無しさん@おーぷん26/04/30(木) 00:36:33 ID:C8vs
>>20の解答
h
23名無しさん@おーぷん26/04/30(木) 00:42:50 ID:VQEB
公式でしか知らんかった球の体積を自分で理解して求められるようになった瞬間感動したよね
26名無しさん@おーぷん26/04/30(木) 01:09:05 ID:QMMV
積分くらいで調子のんな
27名無しさん@おーぷん26/04/30(木) 01:09:54 ID:7t9S
微分積分いい気分♪
30名無しさん@おーぷん26/04/30(木) 01:13:19 ID:QMMV
で微分はべき関数なら交差数列でできるやろ
28名無しさん@おーぷん26/04/30(木) 01:10:11 ID:QMMV
なんで微分の反対が積分なん?
32名無しさん@おーぷん26/04/30(木) 01:14:44 ID:QMMV
何が部分できるかはわかる。でも積分はルールが違うし、そもそも微分できなくて積分できるやつもある
33名無しさん@おーぷん26/04/30(木) 01:14:55 ID:QMMV
意味がわからん